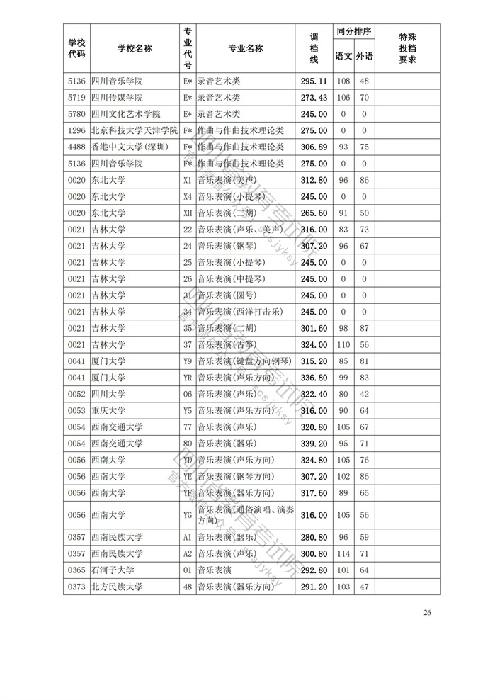
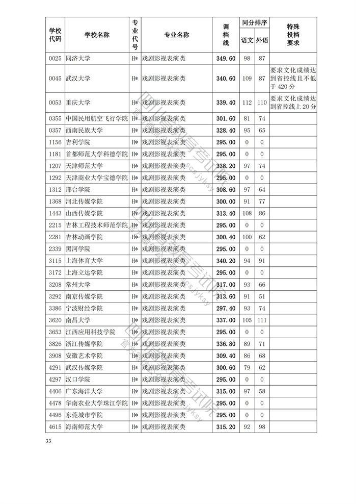
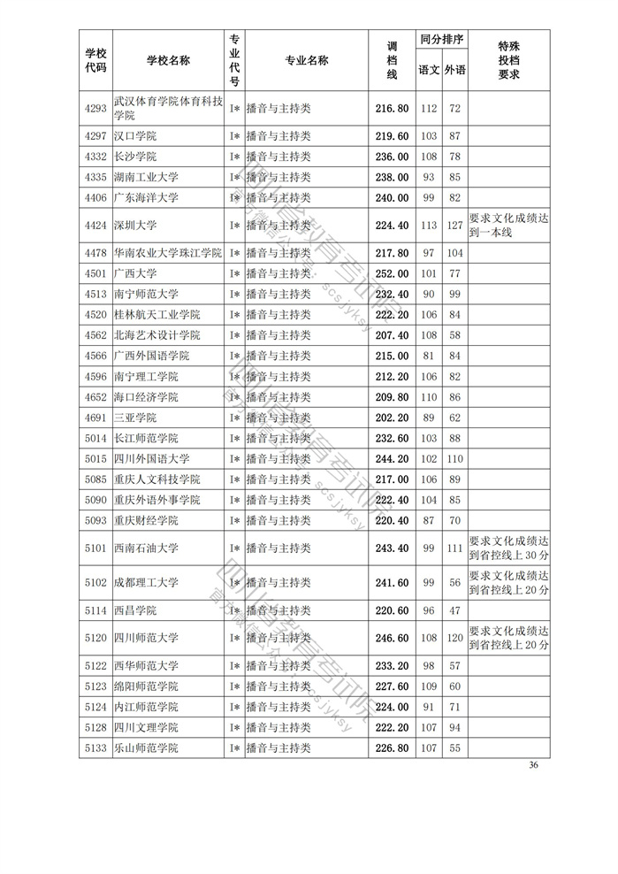
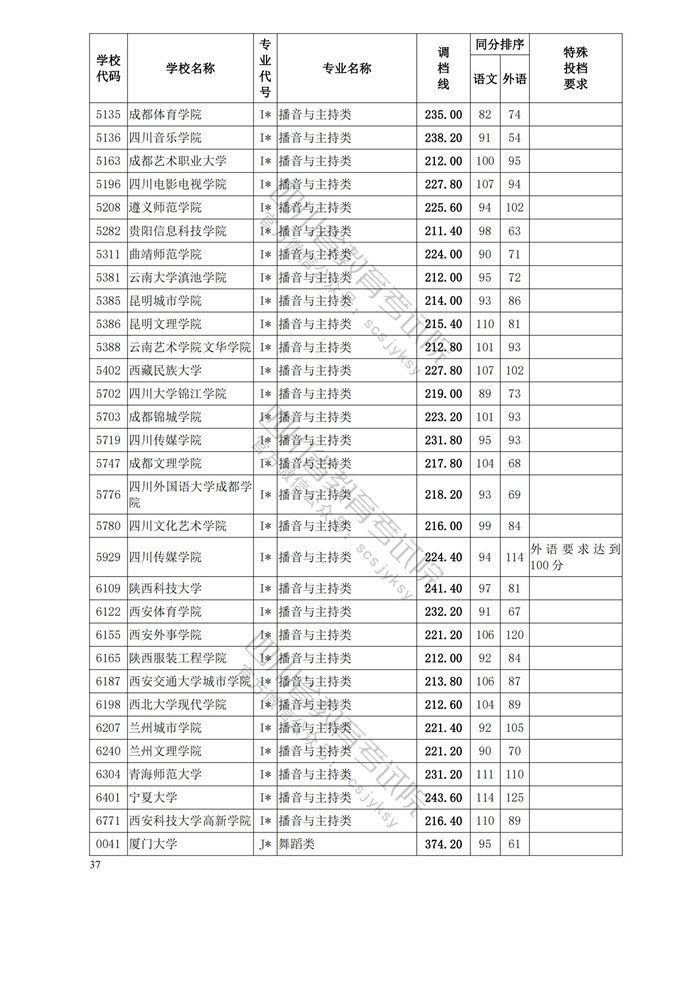
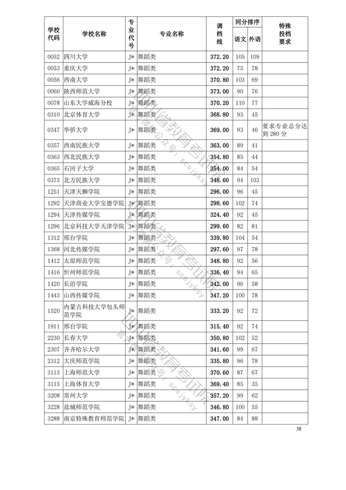
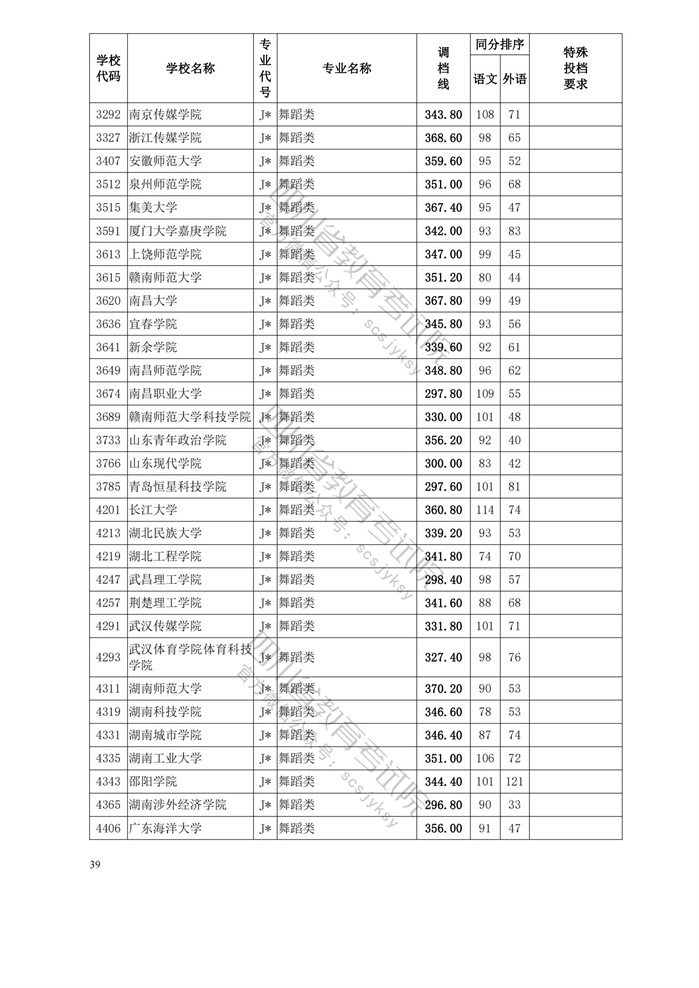
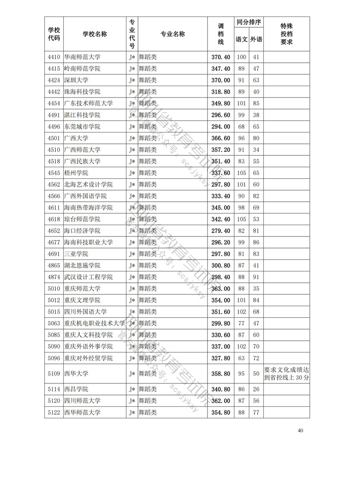
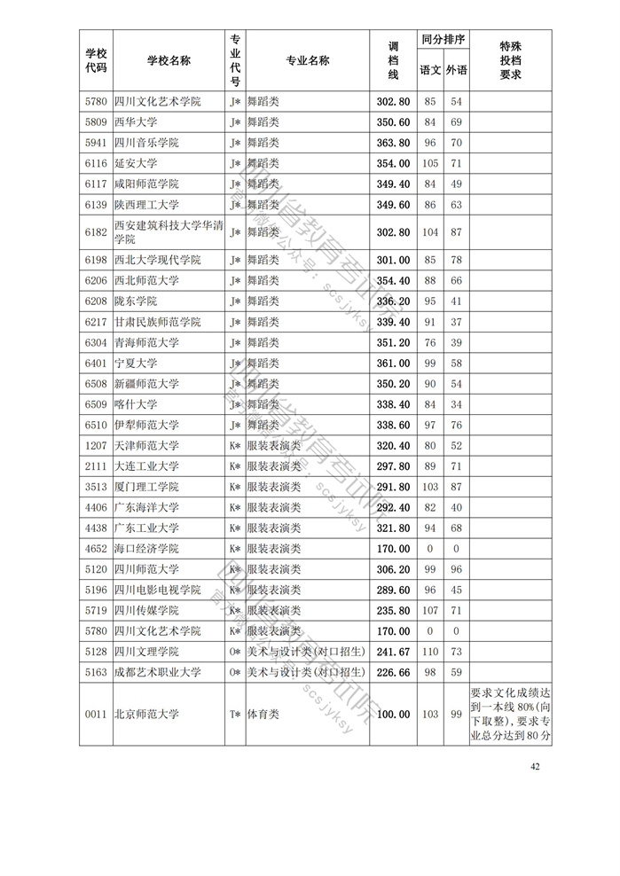
重磅!四川省2023年普通高等学校艺术体育类专业招生艺术类本科第一批、体育类本科批调档线出炉
日期:2023/7/21 18:15:33 | 来源:快乐彩18新利
分享到:
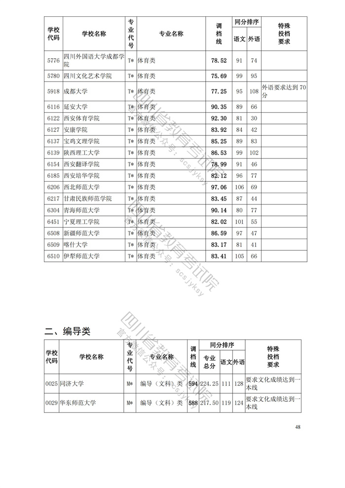
我省2023年普通高校招生艺术类本科第一批、体育类本科批已于7月21日开始录取。为方便广大考生和家长及时获悉录取信息,省教育考试院按非编导类和编导类发布了艺体类分学校、分专业类调档线。


























关注招考