重磅!四川省2021年普通高等学校艺术体育类专业招生专科批调档线出炉
日期:2021/8/6 22:21:26 | 来源:快乐彩18新利
分享到:
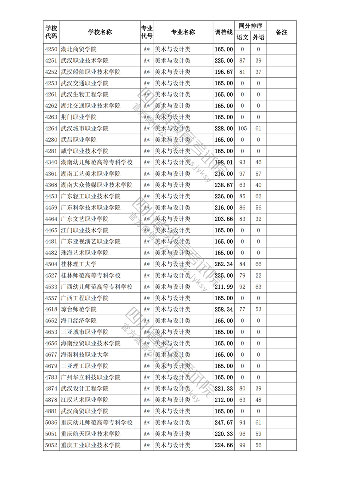
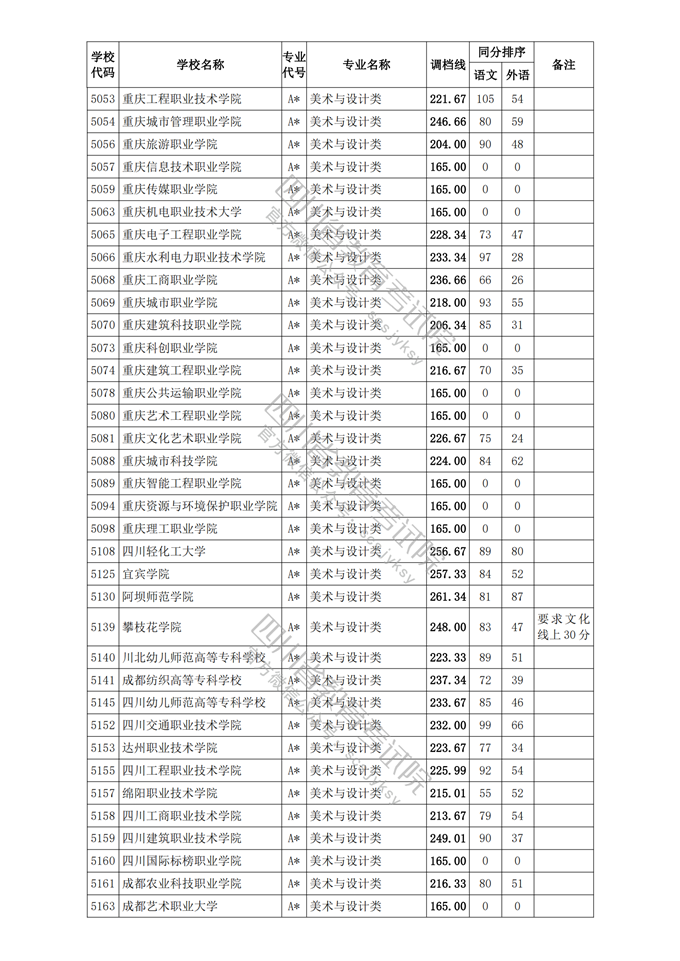
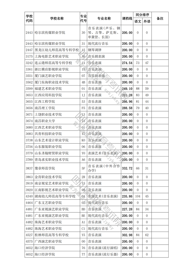
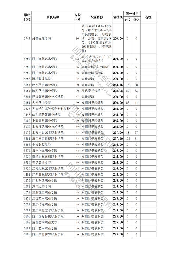
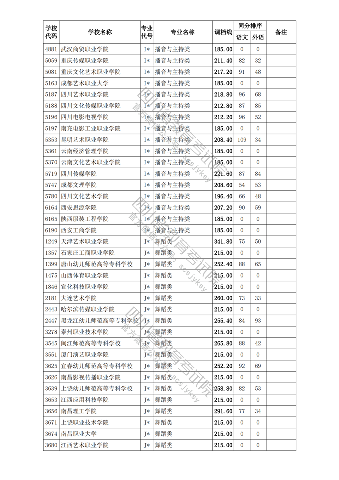
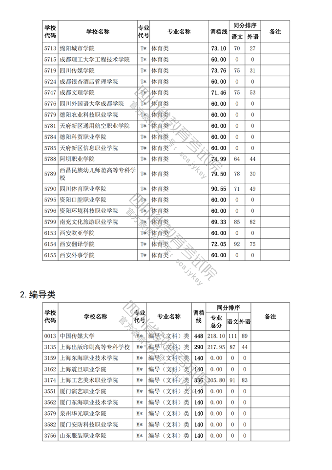
我省2021年普通高等学校艺术体育类专科批已于8月5日晚投档录取。为方便广大考生和家长及时了解录取信息,省教育考试院按非编导类和编导类发布了艺体类分校、分专业类调档线。




















我省2021年普通高等学校艺术体育类专科批已于8月5日晚投档录取。为方便广大考生和家长及时了解录取信息,省教育考试院按非编导类和编导类发布了艺体类分校、分专业类调档线。



















